BZU PAGES: Find Presentations, Reports, Student's Assignments and Daily Discussion; Bahauddin Zakariya University Multan

BZU PAGES: Find Presentations, Reports, Student's Assignments and Daily Discussion; Bahauddin Zakariya University Multan (http://bzupages.com/)
-   Probability and Statistics (http://bzupages.com/40-probability-statistics/)
-   -   What is Quartile with Examples. (Also Learn what are the 1st,2nd and 3rd Quartile,) (http://bzupages.com/f40/what-quartile-examples-also-learn-what-1st-2nd-3rd-quartile-2698/)

.BZU. 09-03-2009 03:51 AM

What is Quartile with Examples. (Also Learn what are the 1st,2nd and 3rd Quartile,)
 
3 Attachment(s)
In descriptive statistics, a quartile is any of the three values which divide the sorted data set into four equal parts, so that each part represents one fourth of the sampled population.

  • first quartile (designated Q1) = lower quartile = cuts off lowest 25% of data = 25th percentile
  • second quartile (designated Q2) = median = cuts data set in half = 50th percentile
  • third quartile (designated Q3) = upper quartile = cuts off highest 25% of data, or lowest 75% = 75th percentile
The difference between the upper and lower quartiles is called the interquartile range.


One possible rule (employed by the TI-83 calculator boxplot and 1-Var Stats functions) is as follows:
  1. Use the median to divide the ordered data set into two halves. Do not include the median into the halves.
  2. The lower quartile value is the median of the lower half of the data. The upper quartile value is the median of the upper half of the data.
The examples below assume this rule. Another possible rule would be to include the median in the halves when calculating the quartiles. This would give significantly different answers to the examples.
Example 1
Data Set: 6, 47, 49, 15, 42, 41, 7, 39, 43, 40, 36
Ordered Data Set: 6, 7, 15, 36, 39, 40, 41, 42, 43, 47, 49
Example 2
Ordered Data Set: 7, 15, 36, 39, 40, 41
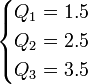
Example 3
Ordered Data Set: 1 2 3 4


All times are GMT +5. The time now is 10:54 AM.

Powered by vBulletin® Version 3.8.2
Copyright ©2000 - 2026, Jelsoft Enterprises Ltd.